6.2. Guinier Approximation#
6.2.1. Partilce Size and Scattering Curve#
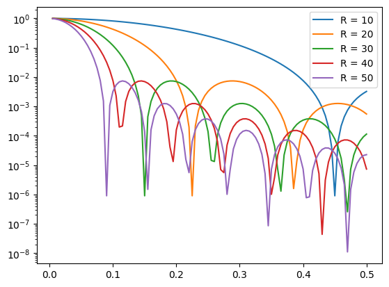
Using the sphere scattering formula, observe how the particle size affects the scattering curve.
from molass import get_version
assert get_version() >= '0.6.1', 'Please update molass to the latest version'
import numpy as np
import matplotlib.pyplot as plt
from molass.SAXS.Models.Formfactors import homogeneous_sphere
q = np.linspace(0.005, 0.5, 100)
R = 30
I = homogeneous_sphere(q, R)
fig, ax = plt.subplots()
ax.set_yscale('log')
for R in [10, 20, 30, 40, 50]:
I = homogeneous_sphere(q, R)
ax.plot(q, I, label=f'R = {R}')
ax.legend();

We can observe that, in the small-angle region, the larger the particle size, the steeper the slope of the curve.
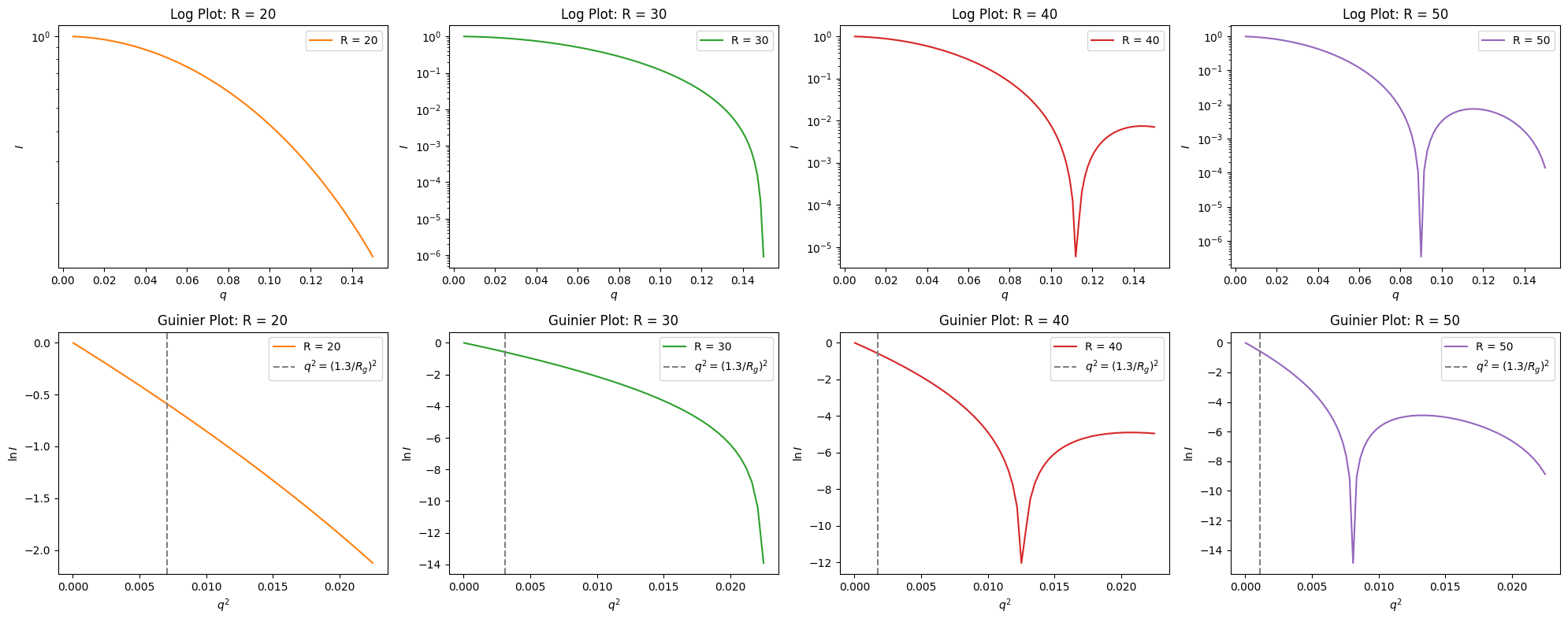
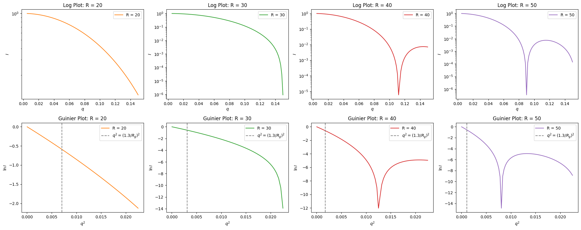
6.2.2. Guinier Plot#
fig, axes = plt.subplots(nrows=2, ncols=4, figsize=(20, 8))
q = np.linspace(0.005, 0.15, 100)
for j, R in enumerate([20, 30, 40, 50]):
I = homogeneous_sphere(q, R)
ax1, ax2= axes[:,j]
ax1.set_title(f'Log Plot: R = {R}')
ax1.set_xlabel(r'$q$')
ax1.set_ylabel(r'$I$')
color = "C%d" % (j+1)
ax1.plot(q, I, label=f'R = {R}', color=color)
ax1.set_yscale('log')
ax1.legend()
ax2.set_title(f'Guinier Plot: R = {R}')
ax2.plot(q**2, np.log(I), label=f'R = {R}', color=color)
rg = R * np.sqrt(3/5)
limit = (1.3/rg)**2
ax2.axvline(limit, color='gray', linestyle='--', label=r'$q^2 = (1.3/R_g)^2$')
ax2.set_xlabel(r'$q^2$')
ax2.set_ylabel(r'$\ln I$')
ax2.legend()
plt.tight_layout()
